Distribuição Gaussiana

Por
Milton Procópio de Borba

      1. Distribuição Binomial:

Se a probabilidade de um evento ocorrer = p  

então a probabilidade deste evento não ocorrer = 1- p   

Se considerarmos n ocorrências semelhantes ou repetidas, então a probabilidade de acontecer  y eventos é py e a probabilidade de não acontecer os demais  (n-y) eventos é (1- p)n-y.

Assim, a probabilidade de acontecer exatamente y eventos é py.(1-p)n-y, nesta ordem.

      Considerando as possíveis trocas de ordem, teremos o seguinte número de possibilidades:

Resumindo,

com as seguintes propriedades:

Pn é NORMALIZADA, isto é, sua soma vale

A média ponderada (média dos  y com probabilidades diferentes) de ocorrências é:

O desvio padrão (média ponderada dos desvios) é de

  

Estes três resultados saem da fórmula do Binômio de Newton:

2. Distribuição de Poisson ( só depende da média Y):

Nos casos de n grande com pequenas probabilidades,

Com Y = np, obtemos

P(y) =

 

com a propriedade:    

    

3. Distribuição Normal - Gaussiana (valores contínuos de y) :

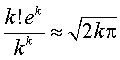
 Usando a aproximação de Stirling:

 

obtemos uma fórmula aproximada, sem o uso do fatorial: 

 P(y) =

 Com  s = , podemos escrever

P(y) =

 

(Ver: Distribuição do Erro)

 

Exemplo com:

 

 

 

 

 n = 100

 p = 0,1

Y = 10

s = 3,2

Propriedades da Distribuição Gaussiana:

·  Probabilidade máxima Þ P(y = Y) = Pmáx  

·  Largura a meia altura: 2G Þ P(y = Y +  G ) = (1/2) Pmáx Þ Largura  = 2G  

· Altura onde ocorre a largura 2s : h Þ P(y = Y +  s ) = h Þ Altura  = h 

h = e-1/2. Pmáx » 0,6065 Pmáx


      4)    Incertezas  

       A Probabilidade total de y com a < y < b pode ser calculada por:

Usando a Distribuição de Gauss, com   a  = Y - s    e    b = Y + s,  se obtém que 
a Probabilidade de que   | y – Y | <  s   é de  

 » 0,6827 (68,27%)

 

A Probabilidade de que   | y – Y | <  3s   é de  

 » 0,9973 (99,73%)  

Com a mudança de variável    x = ( y – Y ) / s ,  a integral

que dá a probabilidade de que     | y – Y | <  ss  , fica assim:  

e pode ser tabelada.  

Foram convencionados os seguintes níveis de erro/incerteza:  

Incerteza

Símbolo

Intervalo

Confiança

Erro padrão

s

Y - s  <  y  <  Y + s

68,27%

Erro provável

D = 0,6745 s

Y - D  <  y  <  Y + D

50%

 

2 s

Y - 2s  <  y  <  Y + 2s

95,4%

Erro limite estatístico

3 s

Y - 3s  <  y  <  Y + 3s

99,73%

Erro limite

L

Y - L  <  y  <  Y + L

100%